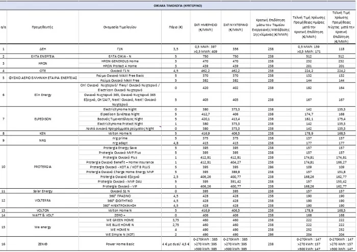
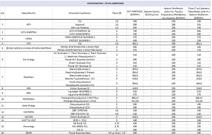
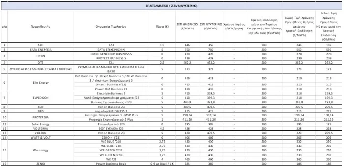
Παρόμοιες τιμές στις εταιρείες ρεύματος - Ποια είναι η φθηνότερη
Διαβάστε σχετικά
- Κιουρτζίδης: «Αντί όλα αυτά να βγαίνουν στο φως με διαδικασίες εξπρές, αποκλείουν τον Πιλίδη»
- Έρχεται «κατακλυσμός» στα κρυπτονομίσματα - Ο... χρησμός του ιδρυτή της Binance
- ΕΛΣΤΑΤ: Κατέβασε ταχύτητα ο πληθωρισμός τον Οκτώβριο, στο 9,1%
- Η πολεμική αεροπορία υποδέχτηκε τα δυο νέα Rafale στην Τανάγρα
- Σαράβαλα τα τουρκικά αεροσκάφη -Στο έδαφος παραμένουν τα 4 στα 10




