Ξεπέρασε τα 46 εκατ. ευρώ η οικονομική ενίσχυση το 2022 για τον ερασιτεχνικό μας αθλητισμό, έπειτα και από την υπογραφή του Υφυπουργού Πολιτισμού και Αθλητισμού, Λευτέρη Αυγενάκη, του συνόλου της τακτικής επιχορήγησης των 53 Ομοσπονδιών της χώρας μας (Ολυμπιακών αθλημάτων και μη, καθώς και ΑμεΑ).
Συγκεκριμένα τα 46 εκατ. ευρώ προκύπτουν από:
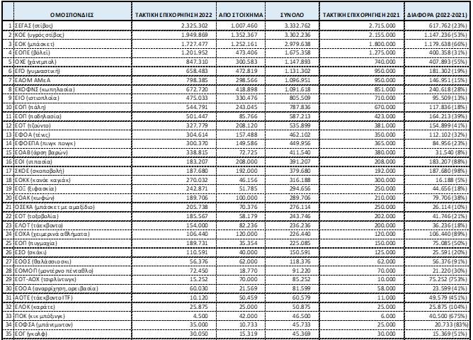
- 15.478.233€ ως Τακτική Επιχορήγηση 2022 των Ομοσπονδιών (τους έχουν ήδη καταβληθεί σε α΄ δόση 8.687.600€ και εκταμιεύεται άμεσα η β’ δόση ύψους 6.790.633€)
- 8.334.910€ για τις Εθνικές ομάδες όλων των ηλικιακών κατηγοριών, ως μερίδιο από τη φορολογία των κερδών των παικτών του Στοιχήματος (έχουν καταβληθεί εξ ολοκλήρου σε όλες τις Ομοσπονδίες)
- 930.000€ για τις προΟλυμπιακές και προΠαραολυμπιακές ομάδες ως μερίδιο από τη φορολογία των κερδών των παικτών του Στοιχήματος (έχουν καταβληθεί εξ ολοκλήρου σε ΕΟΕ και ΕΠΕ)
- 21.425.090€ απευθείας στα 4.900 ερασιτεχνικά σωματεία των 53 Ομοσπονδιών, που ήταν εγγεγραμμένα στο τέλος του 2021 στο Ηλεκτρονικό Μητρώο Αθλητικών Σωματείων, ως μερίδιο από τη φορολογία των κερδών των παικτών του Στοιχήματος (έχουν καταβληθεί εξ ολοκλήρου).
- ΣΥΝΟΛΟ: 46.168.233€
Η οικονομική ενίσχυση, αποκλειστικά και μόνο των 53 Ομοσπονδιών για το 2022, ανέρχεται σε 23.813.143€ και είναι αυξημένη κατά 37,25% σε σχέση με το 2021, καθώς τους διατίθενται επιπλέον 6.462.943€.
Υπενθυμίζεται ότι η κατανομή των ποσών σε κάθε Ομοσπονδία προκύπτει πλέον, για 3η συνεχόμενη χρονιά, βάσει του απολύτως αντικειμενικού και διαφανούς συστήματος αξιολόγησης «Χίλων», με την παραμετροποίηση δεκάδων στοιχείων δραστηριότητας τους, όπως οι ίδιες οι Ομοσπονδίες τα αποστέλλουν (η ΕΠΟ δεν έχει εναρμονιστεί).
«Πρωταθλητής» στη χρηματοδότηση για το 2022 ο ΣΕΓΑΣ (στίβος), με 3.332.762€ (+22,75%) και ακολουθούν
- ΚΟΕ (υγρός στίβος) με 3.302.235€ (+53,24%)
- ΕΟΚ (μπάσκετ) με 2.979.639€ (+65,54%)
- ΕΟΠΕ (βόλεϊ) με 1.675.358€ (+31,4%)
- ΟΧΕ (χάντμπολ) με 1.147.893€ (+55,12%)
- ΕΓΟ (γυμναστική) με 1.131.302€ (+19,08%)
- ΕΑΟΜ ΑμεΑ με 1.096.951€ (+15,47%)
- ΕΚΟΦΝΣ (κωπηλασία) με 1.091.618 (+28%)
ενώ για 1η φορά επιχορηγούνται και οι πέντε νεοσύστατες Ομοσπονδίες (σόφτμπολ, χόκεϊ, τροχοσανίδας, σωματικής διάπλασης και αθλημάτων ακριβείας).
Αυγενάκης: «Φροντίζουμε καθημερινά για την ανάπτυξη του ερασιτεχνικού αθλητισμού»
Ο Υφυπουργός Αθλητισμού, Λευτέρης Αυγενάκης, δήλωσε:
«Η ενίσχυση και η ανάπτυξη του ερασιτεχνικού αθλητισμού, των σωματείων και των αθλητών του που αποτελούν τη βάση του αθλητικής πυραμίδας της χώρας μας, είναι το καθημερινό μέλημα της πολιτικής μας. Αποδεικνύεται συνεχώς, εδώ και τρία χρόνια με δεκάδες μεταρρυθμιστικές πρωτοβουλίες και δράσεις σε κάθε επίπεδο, καταδεικνύεται και από τα οικονομικά στοιχεία, που αυταπόδεικτα είναι πρωτοφανή.
Ευχαριστώ πολύ τον Πρωθυπουργό μας, Κυριάκο Μητσοτάκη και τους συναδέλφους στην Κυβέρνηση για τη συνεχή συνεργασία στήριξης του αθλητικού οικοδομήματος».
Στον πίνακα που ακολουθεί, όλα τα αναλυτικά ποσά και στοιχεία ανά Ομοσπονδία:
Ακολουθήστε τη σελίδα του metrosport.gr και στο google news.
Κάντε like στη σελίδα μας στο Facebook